概述
盛鉑科技SWLNA0012031型號0.1至20GHz超寬帶低噪聲放大器模塊是基于GaAs PHEMT MMIC工藝為基礎并結合盛鉑科技在設計開發寬帶微波測試產品中積累的豐富經驗為廣大用戶單獨研發的一款通用高增益低噪聲放大器,它具有超低功耗(單電源+5V工作,電流140mA),可覆蓋0.1-20GHz超寬頻率范圍, 31dB高增益的特點。該模塊還可在-40℃~+85℃超大溫度范圍內正常工作,在高低溫環境下增益變化影響不明顯,外觀尺寸精巧38mm×18mm×12mm。
模塊外觀進行鍍鎳處理良好接地,射頻端口為可拆卸SMA射頻連接器,內部使用射頻絕緣子,使模塊使用更方便。
功能框圖↑
性能指標(TA = +25 oC ,50Ω system, Vcc=+5V)
參數 | 最小 | 典型 | 最大 | 單位 |
工作頻率 | 0.1- 20 | GHz |
增益 |
| 31 |
| dB |
帶內平坦度 |
| ±1 |
| dB |
噪聲系數 |
| 2.2 | 3.9 | dB |
輸出1dB壓縮點 | +9 | +11 | +12 | dBm |
OIP3 | +21 | +22 | +24 | dBm |
反向隔離度 |
| 70 |
| dB |
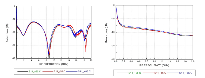
輸入回波損耗 |
| 15 |
| dB |
輸出回波損耗 |
| 15 |
| dB |
電流 |
| 138 |
| mA |
高端增益 ↓ 低端增益↓
高端S11回波損耗↓ 低端S11回波損耗 ↓
高端S22回波損耗↓ 低端S22回波損耗↓
噪聲系數↓ 輸出1dB壓縮點P1 ↓
反向隔離度 ↓ 物理參數↓
極限參數↓ 接口描述↓ 
產品按ISO認證標準制造。